Integral Of E 5X

Integral Of E 5X

Calculus is a fundamental branch of mathematics that deals with rates of change and accumulation of quantities. One of the key concepts in calculus is the integral, which is used to find areas under curves, volumes of solids, and solutions to differential equations. Among the various integrals studied, the integral of e5x is particularly interesting due to its applications in fields such as physics, engineering, and economics. This post will delve into the integral of e5x, exploring its derivation, applications, and significance.

Understanding the Integral of e5x

The integral of e5x is a fundamental concept in calculus that involves finding the antiderivative of the function e5x. The antiderivative is a function whose derivative is the original function. For the function e5x, the integral can be found using the substitution method or by recognizing a pattern in the derivatives of exponential functions.

To find the integral of e5x, we start with the basic integral of ex, which is ex itself. The integral of eax for any constant a is given by:

∫eax dx = (1/a) eax + C

Applying this formula to e5x, we get:

∫e5x dx = (1/5) e5x + C

Here, C is the constant of integration, which accounts for the fact that the derivative of a constant is zero.

Derivation of the Integral of e5x

The derivation of the integral of e5x involves understanding the chain rule for differentiation and its inverse, which is used in integration. The chain rule states that the derivative of a composite function is the derivative of the outer function times the derivative of the inner function. For the function e5x, the outer function is eu and the inner function is 5x.

Let u = 5x. Then, du = 5dx, or dx = (1/5)du. Substituting these into the integral, we get:

∫e5x dx = ∫eu (1/5) du

This simplifies to:

(1/5) ∫eu du

Since the integral of eu is eu, we have:

(1/5) eu + C

Substituting back u = 5x, we get:

(1/5) e5x + C

This confirms our earlier result.

Applications of the Integral of e5x

The integral of e5x has numerous applications in various fields. Some of the key areas where this integral is used include:

  • Physics: In physics, exponential functions are often used to model phenomena such as radioactive decay, population growth, and heat transfer. The integral of e5x can be used to find the total amount of a substance that has decayed over a period of time or the total heat transferred in a system.
  • Engineering: In engineering, exponential functions are used to model signals, circuits, and control systems. The integral of e5x can be used to analyze the behavior of these systems over time.
  • Economics: In economics, exponential functions are used to model economic growth, interest rates, and inflation. The integral of e5x can be used to calculate the total economic output over a period of time or the total interest earned on an investment.

These applications highlight the importance of understanding the integral of e5x in various scientific and engineering disciplines.

Significance of the Integral of e5x

The significance of the integral of e5x lies in its role as a building block for more complex integrals and its applications in real-world problems. By understanding how to integrate e5x, we gain insights into the behavior of exponential functions and their derivatives. This knowledge is crucial for solving differential equations, which are fundamental to many areas of science and engineering.

Moreover, the integral of e5x is a key component in the study of Laplace transforms, which are used to solve differential equations and analyze signals in engineering and physics. The Laplace transform of a function f(t) is given by:

F(s) = ∫e-st f(t) dt

For the function e5t, the Laplace transform is:

F(s) = ∫e-st e5t dt = ∫e(5-s)t dt

Using the integral of e5x, we can find the Laplace transform of e5t and use it to solve differential equations involving this function.

💡 Note: The integral of e5x is just one example of the many integrals involving exponential functions. The same techniques used to find this integral can be applied to other exponential functions, such as eax for any constant a.

Examples of Integrals Involving e5x

To further illustrate the concept of the integral of e5x, let's consider a few examples:

Example 1: Find the integral of 5e5x.

Using the constant multiple rule for integrals, we have:

∫5e5x dx = 5 ∫e5x dx = 5(1/5) e5x + C = e5x + C

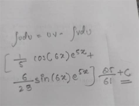
Example 2: Find the integral of e5x cos(3x) dx.

This integral requires the use of integration by parts, which involves choosing u and dv such that the integral of dv is easier to compute. For this integral, let u = cos(3x) and dv = e5x dx. Then, du = -3sin(3x) dx and v = (1/5) e5x. Using the integration by parts formula:

∫udv = uv - ∫vdu

We get:

∫e5x cos(3x) dx = (1/5) e5x cos(3x) - ∫(1/5) e5x (-3sin(3x)) dx

Simplifying, we have:

(1/5) e5x cos(3x) + (3/5) ∫e5x sin(3x) dx

This integral can be further simplified using integration by parts or other techniques.

Example 3: Find the integral of e5x / (1 + e5x).

This integral can be solved using the substitution u = 1 + e5x. Then, du = 5e5x dx, or dx = (1/5) du / e5x. Substituting these into the integral, we get:

∫e5x / (1 + e5x) dx = ∫(1/5) du / u

This simplifies to:

(1/5) ∫(1/u) du = (1/5) ln|u| + C

Substituting back u = 1 + e5x, we get:

(1/5) ln|1 + e5x| + C

These examples demonstrate the versatility of the integral of e5x and its applications in various mathematical problems.

Conclusion

The integral of e5x is a fundamental concept in calculus with wide-ranging applications in physics, engineering, and economics. By understanding how to integrate e5x, we gain insights into the behavior of exponential functions and their derivatives. This knowledge is crucial for solving differential equations and analyzing real-world phenomena. The integral of e5x serves as a building block for more complex integrals and is a key component in the study of Laplace transforms. Through examples and applications, we have seen the significance of this integral in various scientific and engineering disciplines. Mastering the integral of e5x is essential for anyone studying calculus and its applications.

Related Terms:

  • integration formula of e x
  • integral of e x rule
  • integration rules with e
  • integration of e power 5x
  • integration of e inx
  • integral of e formula