Phosphodiester Linkage In Dna

Phosphodiester Linkage In Dna

DNA, the fundamental molecule of life, is a complex structure that encodes the genetic instructions necessary for the development, functioning, growth, and reproduction of all known living organisms. At the heart of this molecular blueprint lies the phosphodiester linkage in DNA, a critical component that ensures the stability and functionality of the genetic material. Understanding the phosphodiester linkage is essential for grasping the intricacies of DNA structure and its role in biological processes.

Understanding DNA Structure

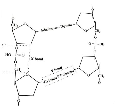
DNA is composed of two strands that wind around each other to form a double helix. Each strand is a polymer made up of four types of nucleotides: adenine (A), thymine (T), guanine (G), and cytosine (C). These nucleotides are linked together by a phosphodiester linkage in DNA, which forms the backbone of the DNA molecule. The phosphodiester linkage connects the 3' carbon of one sugar molecule to the 5' carbon of the next sugar molecule, creating a continuous chain.

The Role of Phosphodiester Linkages

The phosphodiester linkage in DNA plays a crucial role in maintaining the structural integrity of the DNA molecule. This linkage is formed through a condensation reaction between the phosphate group of one nucleotide and the hydroxyl group of another nucleotide. The resulting bond is strong and stable, ensuring that the DNA strands remain intact under various biological conditions.

Additionally, the phosphodiester linkage facilitates the directional nature of DNA. The 5' to 3' directionality is essential for processes such as DNA replication and transcription. During replication, DNA polymerase enzymes read the template strand in the 3' to 5' direction and synthesize the new strand in the 5' to 3' direction. This directional specificity is made possible by the phosphodiester linkage in DNA, which ensures that the nucleotides are added in the correct orientation.

Phosphodiester Linkages and DNA Function

The phosphodiester linkage in DNA is not only crucial for the structure of DNA but also for its function. DNA's primary function is to store and transmit genetic information. The phosphodiester linkage ensures that the genetic code is accurately replicated and passed on to subsequent generations. Any disruption in the phosphodiester linkage can lead to mutations, which may have significant biological consequences.

For example, DNA damage caused by environmental factors such as UV radiation or chemical agents can break the phosphodiester linkage. This damage can result in single-strand breaks or double-strand breaks, which, if not repaired, can lead to genetic mutations. Cells have evolved sophisticated repair mechanisms to detect and fix these breaks, ensuring the integrity of the genetic material.

DNA Repair Mechanisms

DNA repair mechanisms are essential for maintaining the stability of the phosphodiester linkage in DNA. Several repair pathways exist to address different types of DNA damage:

  • Base Excision Repair (BER): This pathway repairs small lesions in the DNA, such as oxidized or deaminated bases. BER enzymes recognize and remove the damaged base, followed by the excision of the sugar-phosphate backbone and the insertion of a new nucleotide.
  • Nucleotide Excision Repair (NER): NER repairs larger lesions, such as those caused by UV radiation. This pathway involves the excision of a segment of the DNA strand containing the damaged nucleotide, followed by the synthesis of a new strand using the complementary strand as a template.
  • Mismatch Repair (MMR): MMR corrects errors that occur during DNA replication, such as mismatched base pairs. This pathway involves the recognition and excision of the mismatched nucleotide, followed by the resynthesis of the correct nucleotide.
  • Double-Strand Break Repair: This pathway repairs double-strand breaks, which are particularly dangerous as they can lead to chromosomal rearrangements. Two main mechanisms are involved: non-homologous end joining (NHEJ) and homologous recombination (HR). NHEJ directly ligates the broken ends, while HR uses a homologous DNA sequence as a template for repair.

🔍 Note: The efficiency of DNA repair mechanisms is crucial for maintaining genomic stability and preventing diseases such as cancer.

Phosphodiester Linkages and Genetic Engineering

The phosphodiester linkage in DNA is also a key consideration in genetic engineering. Techniques such as polymerase chain reaction (PCR), cloning, and gene editing rely on the stability and specificity of the phosphodiester linkage. For example, in PCR, DNA polymerase enzymes use the phosphodiester linkage to synthesize new DNA strands from a template. Similarly, in gene editing techniques like CRISPR-Cas9, the phosphodiester linkage is targeted to introduce specific modifications in the DNA sequence.

Understanding the phosphodiester linkage in DNA is essential for designing effective genetic engineering strategies. Researchers can manipulate the phosphodiester linkage to introduce specific mutations, insert new genes, or correct genetic defects. This knowledge has led to significant advancements in biotechnology, medicine, and agriculture.

Phosphodiester Linkages and Disease

Disruptions in the phosphodiester linkage in DNA can have profound effects on human health. Genetic disorders, such as xeroderma pigmentosum and ataxia-telangiectasia, are caused by defects in DNA repair mechanisms that affect the phosphodiester linkage. These disorders increase the risk of cancer and other diseases due to the accumulation of DNA damage.

Moreover, the phosphodiester linkage in DNA is a target for various therapeutic interventions. For example, certain chemotherapeutic drugs, such as cisplatin and bleomycin, work by inducing DNA damage, including breaks in the phosphodiester linkage. This damage triggers cell death in rapidly dividing cancer cells, making these drugs effective in cancer treatment.

Researchers are also exploring the use of DNA repair inhibitors as potential cancer therapies. By inhibiting DNA repair mechanisms, these inhibitors can enhance the effectiveness of chemotherapy and radiation therapy, leading to better outcomes for cancer patients.

In addition to cancer, disruptions in the phosphodiester linkage in DNA have been linked to neurodegenerative diseases such as Alzheimer's and Parkinson's. These diseases are characterized by the accumulation of DNA damage in neurons, leading to cell death and cognitive decline. Understanding the mechanisms underlying these disruptions can pave the way for new therapeutic strategies.

Future Directions in DNA Research

The study of the phosphodiester linkage in DNA continues to be a vibrant area of research. Advances in genomics, proteomics, and bioinformatics are providing new insights into the structure and function of DNA. Researchers are exploring the use of nanotechnology to manipulate the phosphodiester linkage at the molecular level, opening up new possibilities for genetic engineering and therapeutic interventions.

Moreover, the development of high-throughput sequencing technologies is enabling scientists to study the phosphodiester linkage in DNA in unprecedented detail. These technologies allow for the rapid and accurate sequencing of entire genomes, providing a comprehensive view of DNA structure and function. This knowledge can be used to develop personalized medicine approaches, tailored to the unique genetic makeup of each individual.

In conclusion, the phosphodiester linkage in DNA is a fundamental component of the genetic material, essential for its structure, function, and stability. Understanding this linkage is crucial for advancing our knowledge of DNA biology, genetic engineering, and disease mechanisms. As research continues to uncover the intricacies of the phosphodiester linkage, we can expect significant advancements in biotechnology, medicine, and our understanding of life itself.