Rankine Steam Cycle

Rankine Steam Cycle

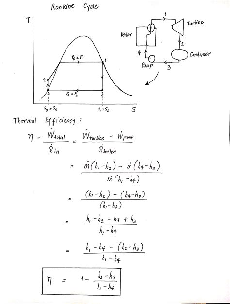
The Rankine Steam Cycle is a fundamental thermodynamic cycle used in power generation, particularly in steam turbines. This cycle is crucial for understanding how thermal energy is converted into mechanical work, which is then used to generate electricity. The Rankine cycle operates on the principle of a closed loop, where water is heated to produce steam, which drives a turbine, and then the steam is condensed back into water to repeat the cycle. This process is widely used in various power plants, including coal-fired, nuclear, and solar thermal plants.

The Basic Components of the Rankine Steam Cycle

The Rankine Steam Cycle consists of several key components, each playing a crucial role in the conversion of heat into work. These components include:

  • Boiler: Where water is heated to produce steam.
  • Turbine: Where the high-pressure steam expands and drives the generator to produce electricity.
  • Condenser: Where the exhaust steam from the turbine is cooled and condensed back into water.
  • Pump: Which increases the pressure of the condensed water before it returns to the boiler.

The Four Main Processes in the Rankine Steam Cycle

The Rankine Steam Cycle can be broken down into four main processes, each occurring in a specific component of the system. These processes are:

  • Process 1-2: Isentropic compression in the pump.
  • Process 2-3: Constant pressure heat addition in the boiler.
  • Process 3-4: Isentropic expansion in the turbine.
  • Process 4-1: Constant pressure heat rejection in the condenser.

Process 1-2: Isentropic Compression in the Pump

In this process, the condensed water from the condenser is pumped back into the boiler at a higher pressure. The pump increases the pressure of the water, making it ready for the next stage of the cycle. This process is isentropic, meaning there is no heat exchange with the surroundings, and the entropy of the water remains constant.

Process 2-3: Constant Pressure Heat Addition in the Boiler

In the boiler, the high-pressure water is heated to produce steam. This process occurs at a constant pressure, and the heat added to the system increases the temperature and enthalpy of the water, converting it into steam. The boiler is typically fueled by burning fossil fuels, nuclear reactions, or solar energy, depending on the type of power plant.

Process 3-4: Isentropic Expansion in the Turbine

The high-pressure steam produced in the boiler is then directed to the turbine. In the turbine, the steam expands isentropically, converting its thermal energy into mechanical work. This mechanical work is used to drive a generator, which produces electricity. The exhaust steam from the turbine is at a lower pressure and temperature compared to the inlet steam.

Process 4-1: Constant Pressure Heat Rejection in the Condenser

The exhaust steam from the turbine is directed to the condenser, where it is cooled and condensed back into water. This process occurs at a constant pressure, and the heat rejected from the system decreases the temperature and enthalpy of the steam, converting it back into liquid water. The condensed water is then pumped back into the boiler to repeat the cycle.

Efficiency of the Rankine Steam Cycle

The efficiency of the Rankine Steam Cycle is a critical factor in determining the overall performance of a power plant. The efficiency can be calculated using the following formula:

📝 Note: The efficiency of the Rankine cycle is defined as the ratio of the net work output to the heat input.

η = (Wnet / Qin)

Where:

  • η is the efficiency of the cycle.
  • Wnet is the net work output.
  • Qin is the heat input.

The efficiency of the Rankine cycle can be improved by:

  • Increasing the boiler pressure and temperature.
  • Reducing the condenser pressure.
  • Using reheat and regeneration processes.

Reheat and Regeneration in the Rankine Steam Cycle

To enhance the efficiency of the Rankine Steam Cycle, two common modifications are used: reheat and regeneration.

Reheat

Reheat involves extracting steam from the turbine at an intermediate pressure, reheating it in a separate boiler, and then returning it to the turbine for further expansion. This process increases the overall work output of the turbine and improves the cycle’s efficiency.

Regeneration

Regeneration involves extracting steam from the turbine at various points and using it to preheat the feedwater before it enters the boiler. This process reduces the amount of heat that needs to be added in the boiler, improving the cycle’s efficiency. Regeneration can be achieved using feedwater heaters, which transfer heat from the extracted steam to the feedwater.

Applications of the Rankine Steam Cycle

The Rankine Steam Cycle is widely used in various power generation applications, including:

  • Coal-Fired Power Plants: Where coal is burned to produce steam, which drives the turbine.
  • Nuclear Power Plants: Where nuclear reactions generate heat to produce steam.
  • Solar Thermal Power Plants: Where solar energy is used to heat water and produce steam.
  • Geothermal Power Plants: Where geothermal energy is used to produce steam.
  • Biomass Power Plants: Where biomass is burned to produce steam.

Advantages and Disadvantages of the Rankine Steam Cycle

The Rankine Steam Cycle has several advantages and disadvantages that make it suitable for certain applications but not others.

Advantages

  • High efficiency in converting thermal energy into mechanical work.
  • Versatile fuel options, including coal, nuclear, solar, and biomass.
  • Scalable for both small and large power generation applications.
  • Well-established technology with a long history of use.

Disadvantages

  • Requires a significant amount of water for cooling and condensation.
  • Can be complex and expensive to build and maintain.
  • Emission of pollutants, depending on the fuel source.
  • Limited by the thermodynamic properties of water.

Future Developments in the Rankine Steam Cycle

The Rankine Steam Cycle continues to evolve with advancements in technology and materials. Some of the future developments in this field include:

  • Advanced Materials: Development of new materials that can withstand higher temperatures and pressures, allowing for more efficient cycles.
  • Supercritical and Ultra-Supercritical Cycles: Operating the cycle at supercritical or ultra-supercritical conditions to improve efficiency.
  • Organic Rankine Cycle (ORC): Using organic fluids instead of water to operate the cycle at lower temperatures, suitable for waste heat recovery and geothermal applications.
  • Integrated Systems: Combining the Rankine cycle with other power generation technologies, such as solar photovoltaic or wind, to create hybrid systems.

These developments aim to enhance the efficiency, flexibility, and sustainability of the Rankine Steam Cycle, making it a key technology for future power generation.

In conclusion, the Rankine Steam Cycle is a cornerstone of modern power generation, providing a reliable and efficient means of converting thermal energy into mechanical work. Its versatility, scalability, and well-established technology make it a preferred choice for various power plants. However, ongoing research and development are essential to address its limitations and improve its performance, ensuring its continued relevance in the evolving energy landscape.

Related Terms:

  • rankine cycle steam power plant
  • actual rankine cycle
  • rankine cycle block diagram
  • rankine cycle power plant diagram
  • ts diagram of rankine cycle
  • ideal vs actual rankine cycle