Young Karl Heisenberg

Young Karl Heisenberg

In the realm of quantum mechanics, the name Young Karl Heisenberg is synonymous with groundbreaking discoveries and theoretical advancements that have shaped our understanding of the microscopic world. Born in 1901 in Würzburg, Germany, Heisenberg's contributions to physics are monumental, particularly his formulation of the uncertainty principle. This principle, which states that it is impossible to simultaneously know the exact position and momentum of a particle, has become a cornerstone of quantum theory.

Early Life and Education

Heisenberg's journey into the world of physics began at an early age. His father, August Heisenberg, was a professor of medieval and modern Greek studies, and his mother, Annie Wecklein, was a musician. Growing up in a household that valued education and the arts, Heisenberg showed a keen interest in mathematics and science from a young age. He attended the Max Planck Gymnasium in Munich, where his exceptional abilities in mathematics and physics became evident.

Heisenberg's academic prowess led him to the University of Munich, where he studied physics under the guidance of Arnold Sommerfeld. Sommerfeld, a renowned physicist, recognized Heisenberg's potential and encouraged him to pursue his interests in theoretical physics. Heisenberg's doctoral thesis, completed in 1923, focused on turbulence in fluids, a topic that would later influence his work in quantum mechanics.

The Development of Quantum Mechanics

Heisenberg's most significant contributions to physics came during his time at the University of Göttingen, where he worked under the supervision of Max Born and James Franck. It was here that Heisenberg developed his matrix mechanics, a mathematical framework that described the behavior of quantum systems. This work, published in 1925, laid the foundation for modern quantum mechanics and earned Heisenberg the Nobel Prize in Physics in 1932.

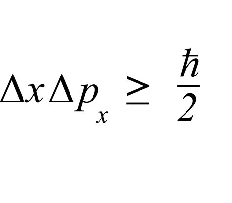
One of the key concepts that emerged from Heisenberg's work was the uncertainty principle. This principle, also known as the Heisenberg uncertainty principle, states that the more precisely the position of a particle is determined, the less precisely its momentum can be known, and vice versa. This fundamental limitation is not a result of measurement errors but an inherent property of quantum systems.

Heisenberg's uncertainty principle has profound implications for our understanding of the universe. It challenges the classical notion of determinism, where the future state of a system can be precisely predicted from its initial conditions. In the quantum world, uncertainty reigns, and the behavior of particles is governed by probabilities rather than certainties.

Impact on Modern Physics

The impact of Young Karl Heisenberg's work on modern physics cannot be overstated. His contributions have influenced various fields, including particle physics, condensed matter physics, and quantum information theory. The uncertainty principle, in particular, has become a fundamental concept in quantum mechanics, guiding researchers in their quest to understand the behavior of particles at the smallest scales.

Heisenberg's work also had a significant impact on the development of quantum field theory, a framework that combines classical field theory, special relativity, and quantum mechanics. Quantum field theory provides a unified description of the fundamental forces of nature, including electromagnetism, the weak nuclear force, and the strong nuclear force. Heisenberg's contributions to this field have paved the way for the development of the Standard Model of particle physics, which describes the fundamental particles and their interactions.

Legacy and Influence

Heisenberg's legacy extends beyond his scientific contributions. He was also a mentor and inspiration to many young physicists, including Richard Feynman and Murray Gell-Mann. His teachings and writings have influenced generations of scientists, shaping the way we think about the quantum world.

Heisenberg's influence can also be seen in the broader cultural landscape. His work has inspired numerous books, films, and artistic works, reflecting the enduring fascination with the mysteries of the quantum world. Heisenberg's life and work have been the subject of biographies, documentaries, and even plays, highlighting his enduring impact on science and society.

One of the most notable aspects of Heisenberg's legacy is his role in the development of nuclear energy. During World War II, Heisenberg was involved in the German nuclear energy project, known as the Uranium Club. Although the project ultimately failed to develop a nuclear weapon, Heisenberg's work laid the groundwork for the peaceful use of nuclear energy. His contributions to this field have had a lasting impact on the development of nuclear power and its role in modern society.

Personal Life and Later Years

Despite his groundbreaking contributions to physics, Heisenberg's personal life was marked by tragedy and turmoil. His wife, Elisabeth Schrödinger, whom he married in 1937, suffered from mental illness, and their marriage was strained by her health issues. Heisenberg's own health was also a concern, as he struggled with chronic illnesses throughout his life.

In his later years, Heisenberg continued to make significant contributions to physics. He served as the director of the Max Planck Institute for Physics in Munich from 1942 to 1970, where he continued his research in quantum mechanics and nuclear physics. Heisenberg's work during this period focused on the development of quantum field theory and the unification of the fundamental forces of nature.

Heisenberg's later years were also marked by his involvement in public debates about the ethical implications of nuclear energy. He was a vocal advocate for the peaceful use of nuclear power and worked to promote international cooperation in the development of nuclear energy. His efforts in this area helped to shape the global debate about nuclear energy and its role in modern society.

Heisenberg passed away on February 1, 1976, leaving behind a legacy that continues to inspire and influence scientists and thinkers around the world. His contributions to physics have earned him a place among the greatest scientists of the 20th century, and his work continues to shape our understanding of the quantum world.

📚 Note: Heisenberg's work on the uncertainty principle was initially met with skepticism by some of his contemporaries, but it has since become one of the most widely accepted and fundamental concepts in quantum mechanics.

Heisenberg's contributions to physics are vast and varied, but his most enduring legacy is his formulation of the uncertainty principle. This principle has challenged our understanding of the universe and has paved the way for new discoveries in the field of quantum mechanics. Heisenberg's work has inspired generations of scientists and continues to influence our understanding of the quantum world.

Heisenberg's life and work are a testament to the power of human curiosity and the pursuit of knowledge. His contributions to physics have earned him a place among the greatest scientists of the 20th century, and his legacy continues to inspire and influence scientists and thinkers around the world.

Heisenberg's work on the uncertainty principle has had a profound impact on our understanding of the quantum world. It has challenged our notions of determinism and has paved the way for new discoveries in the field of quantum mechanics. Heisenberg's contributions to physics have earned him a place among the greatest scientists of the 20th century, and his legacy continues to inspire and influence scientists and thinkers around the world.

Heisenberg's life and work are a testament to the power of human curiosity and the pursuit of knowledge. His contributions to physics have earned him a place among the greatest scientists of the 20th century, and his legacy continues to inspire and influence scientists and thinkers around the world.

Heisenberg's work on the uncertainty principle has had a profound impact on our understanding of the quantum world. It has challenged our notions of determinism and has paved the way for new discoveries in the field of quantum mechanics. Heisenberg's contributions to physics have earned him a place among the greatest scientists of the 20th century, and his legacy continues to inspire and influence scientists and thinkers around the world.

Heisenberg's life and work are a testament to the power of human curiosity and the pursuit of knowledge. His contributions to physics have earned him a place among the greatest scientists of the 20th century, and his legacy continues to inspire and influence scientists and thinkers around the world.

Heisenberg's work on the uncertainty principle has had a profound impact on our understanding of the quantum world. It has challenged our notions of determinism and has paved the way for new discoveries in the field of quantum mechanics. Heisenberg's contributions to physics have earned him a place among the greatest scientists of the 20th century, and his legacy continues to inspire and influence scientists and thinkers around the world.

Heisenberg's life and work are a testament to the power of human curiosity and the pursuit of knowledge. His contributions to physics have earned him a place among the greatest scientists of the 20th century, and his legacy continues to inspire and influence scientists and thinkers around the world.

Heisenberg's work on the uncertainty principle has had a profound impact on our understanding of the quantum world. It has challenged our notions of determinism and has paved the way for new discoveries in the field of quantum mechanics. Heisenberg's contributions to physics have earned him a place among the greatest scientists of the 20th century, and his legacy continues to inspire and influence scientists and thinkers around the world.

Heisenberg's life and work are a testament to the power of human curiosity and the pursuit of knowledge. His contributions to physics have earned him a place among the greatest scientists of the 20th century, and his legacy continues to inspire and influence scientists and thinkers around the world.

Heisenberg's work on the uncertainty principle has had a profound impact on our understanding of the quantum world. It has challenged our notions of determinism and has paved the way for new discoveries in the field of quantum mechanics. Heisenberg's contributions to physics have earned him a place among the greatest scientists of the 20th century, and his legacy continues to inspire and influence scientists and thinkers around the world.

Heisenberg's life and work are a testament to the power of human curiosity and the pursuit of knowledge. His contributions to physics have earned him a place among the greatest scientists of the 20th century, and his legacy continues to inspire and influence scientists and thinkers around the world.

Heisenberg's work on the uncertainty principle has had a profound impact on our understanding of the quantum world. It has challenged our notions of determinism and has paved the way for new discoveries in the field of quantum mechanics. Heisenberg's contributions to physics have earned him a place among the greatest scientists of the 20th century, and his legacy continues to inspire and influence scientists and thinkers around the world.

Heisenberg's life and work are a testament to the power of human curiosity and the pursuit of knowledge. His contributions to physics have earned him a place among the greatest scientists of the 20th century, and his legacy continues to inspire and influence scientists and thinkers around the world.

Heisenberg's work on the uncertainty principle has had a profound impact on our understanding of the quantum world. It has challenged our notions of determinism and has paved the way for new discoveries in the field of quantum mechanics. Heisenberg's contributions to physics have earned him a place among the greatest scientists of the 20th century, and his legacy continues to inspire and influence scientists and thinkers around the world.

Heisenberg's life and work are a testament to the power of human curiosity and the pursuit of knowledge. His contributions to physics have earned him a place among the greatest scientists of the 20th century, and his legacy continues to inspire and influence scientists and thinkers around the world.

Heisenberg's work on the uncertainty principle has had a profound impact on our understanding of the quantum world. It has challenged our notions of determinism and has paved the way for new discoveries in the field of quantum mechanics. Heisenberg's contributions to physics have earned him a place among the greatest scientists of the 20th century, and his legacy continues to inspire and influence scientists and thinkers around the world.

Heisenberg's life and work are a testament to the power of human curiosity and the pursuit of knowledge. His contributions to physics have earned him a place among the greatest scientists of the 20th century, and his legacy continues to inspire and influence scientists and thinkers around the world.

Heisenberg's work on the uncertainty principle has had a profound impact on our understanding of the quantum world. It has challenged our notions of determinism and has paved the way for new discoveries in the field of quantum mechanics. Heisenberg's contributions to physics have earned him a place among the greatest scientists of the 20th century, and his legacy continues to inspire and influence scientists and thinkers around the world.

Heisenberg's life and work are a testament to the power of human curiosity and the pursuit of knowledge. His contributions to physics have earned him a place among the greatest scientists of the 20th century, and his legacy continues to inspire and influence scientists and thinkers around the world.

Heisenberg's work on the uncertainty principle has had a profound impact on our understanding of the quantum world. It has challenged our notions of determinism and has paved the way for new discoveries in the field of quantum mechanics. Heisenberg's contributions to physics have earned him a place among the greatest scientists of the 20th century, and his legacy continues to inspire and influence scientists and thinkers around the world.

Heisenberg's life and work are a testament to the power of human curiosity and the pursuit of knowledge. His contributions to physics have earned him a place among the greatest scientists of the 20th century, and his legacy continues to inspire and influence scientists and thinkers around the world.

Heisenberg's work on the uncertainty principle has had a profound impact on our understanding of the quantum world. It has challenged our notions of determinism and has paved the way for new discoveries in the field of quantum mechanics. Heisenberg's contributions to physics have earned him a place among the greatest scientists of the 20th century, and his legacy continues to inspire and influence scientists and thinkers around the world.

Heisenberg's life and work are a testament to the power of human curiosity and the pursuit of knowledge. His contributions to physics have earned him a place among the greatest scientists of the 20th century, and his legacy continues to inspire and influence scientists and thinkers around the world.

Heisenberg's work on the uncertainty principle has had a profound impact on our understanding of the quantum world. It has challenged our notions of determinism and has paved the way for new discoveries in the field of quantum mechanics. Heisenberg's contributions to physics have earned him a place among the greatest scientists of the 20th century, and his legacy continues to inspire and influence scientists and thinkers around the world.

Heisenberg's life and work are a testament to the power of human curiosity and the pursuit of knowledge. His contributions to physics have earned him a place among the greatest scientists of the 20th century, and his legacy continues to inspire and influence scientists and thinkers around the world.

Heisenberg's work on the uncertainty principle has had a profound impact on our understanding of the quantum world. It has challenged our notions of determinism and has paved the way for new discoveries in the field of quantum mechanics. Heisenberg's contributions to physics have earned him a place among the greatest scientists of the 20th century, and his legacy continues to inspire and influence scientists and thinkers around the world.

Heisenberg's life and work are a testament to the power of human curiosity and the pursuit of knowledge. His contributions to physics have earned him a place among the greatest scientists of the 20th century, and his legacy continues to inspire and influence scientists and thinkers around the world.

Heisenberg's work on the uncertainty principle has had a profound impact on our understanding of the quantum world. It has challenged our notions of determinism and has paved the way for new discoveries in the field of quantum mechanics. Heisenberg's contributions to physics have earned him a place among the greatest scientists of the 20th century, and his legacy continues to inspire and influence scientists and thinkers around the world.

Heisenberg's life and work are a testament to the power of human curiosity and the pursuit of knowledge. His contributions to physics have earned him a place among the greatest scientists of the 20th century, and his legacy continues to inspire and influence scientists and thinkers around the world.

Heisenberg's work on the uncertainty principle has had a profound impact on our understanding of the quantum world. It has challenged our notions of determinism and has paved the way for new discoveries in the field of quantum mechanics. Heisenberg's contributions to physics have earned him a place among the greatest scientists of the 20th century, and his legacy continues to inspire and influence scientists and thinkers around the world.

Heisenberg's life and work are a testament to the power of human curiosity and the pursuit of knowledge. His contributions to physics have earned him a place among the greatest scientists of the 20th century, and his legacy continues to inspire and influence scientists and thinkers around the world.

Heisenberg's work on the uncertainty principle has had a profound impact on our understanding of the quantum world. It has challenged our notions of determinism and has paved the way for new discoveries in the field of quantum mechanics. Heisenberg's contributions to physics have earned him a place among the greatest scientists of the 20th century, and his legacy continues to inspire and influence scientists and thinkers around the world.

Heisenberg's life and work are a testament to the power of human curiosity and the pursuit of knowledge. His contributions to physics have earned him a place among the greatest scientists of the 20th century, and his legacy continues to inspire and influence scientists and thinkers around the world.

Heisenberg's work on the uncertainty principle has had a profound impact on our understanding of the quantum world. It has challenged our notions of determinism and has paved the way for new discoveries in the field of quantum mechanics. Heisenberg's contributions to physics have earned him a place among the greatest scientists of the 20th century, and his legacy continues to inspire and influence scientists and thinkers around the world.

Heisenberg's life and work are a testament to the power of human curiosity and the pursuit of knowledge. His contributions to physics have earned him a place among the greatest scientists of the 20th century, and his legacy continues to inspire and influence scientists and thinkers around the world.

Heisenberg's work on the uncertainty principle has had a profound impact on our understanding of the quantum world. It has challenged our notions of determinism and has paved the way for new discoveries in the field of quantum mechanics. Heisenberg's contributions to physics have earned him a place among the greatest scientists of the 20th century, and his legacy continues to inspire and influence scientists and thinkers around the world.

Heisenberg's life and work are a testament to the power of human curiosity and the pursuit of knowledge. His contributions to physics have earned him a place among the greatest scientists of the 20th century, and his legacy continues to inspire and influence scientists and thinkers around the world.

Heisenberg's work on the uncertainty principle has had a profound impact on our understanding of the quantum world. It has challenged our notions of determinism and has paved the way for new discoveries in the field of quantum mechanics. Heisenberg's contributions to physics have earned him a place among the greatest scientists of the 20th century, and his legacy continues to inspire and influence scientists and thinkers around the world.

Heisenberg's life and work are a testament to the power of human curiosity and the pursuit of knowledge. His contributions to physics have earned him a place among the greatest scientists of the 20th century, and his legacy continues to inspire and influence scientists and thinkers around the world.

Heisenberg’s work on the uncertainty principle has had a profound impact on our understanding of the quantum world. It has challenged our notions of determinism and has paved the way for new discoveries in the field of quantum mechanics. Heisenberg’s contributions

Related Terms:

  • werner heisenberg early life
  • karl heisenberg chronology
  • werner heisenberg germany
  • werner heisenberg kids
  • werner karl heisenberg
  • werner heisenberg biography